40 prinsip sebab akibat dalam asuransi
"Jadi usul supaya dalam rencana amandemen UU BUMN, pasal ini (revisi tentang tuntutan kepada direksi akibat perusahaan merugi) dimasukkan dengan tegas dengan segala rambu-rambunya," kata Toto. Di sisi lain, Toto mengungkapkan proyek-proyek yang digarap Pertamina dan PLN memiliki indikator berbeda dengan perusahaan pada umumnya. Agregasi BBC Indonesia, · Jum'at 19 November 2021 11:02 WIB. MINNESOTA - Yusuf Dayur hanyalah seorang anak berusia 14 tahun seperti anak-anak sebayanya di Amerika Serikat (AS), tetapi mungkin yang membedakannya adalah dia serius ingin menjadi Presiden AS. Bocah keturunan Somalia dan beragama Islam ini, tahu persis bagaimana dia akan ...
Mirip Kolam, Begini Kondisi Jalan Penghubung Antar Kecamatan di Jember. Muhammad Taufiq Kamis, 18 November 2021 | 20:15 WIB. Kondisi jalan penghubung di Jember [Foto: Suaraindonesia] Kondisi hujan seperti sekarang memang menyebabkan banyak munjul lubang di jalanan. Tak terkecuali di Jember Jawa Timur.

Prinsip sebab akibat dalam asuransi
4. Miliki prinsip hidup yang sejalan. Akan sulit hubungan bisa berjalan dengan harmonis, apabila prinsip hidup kalian berseberangan. Sebab, jurang perbedaan yang terlampau besar, membuat kalian rentan terlibat pertengkaran. Pertengkaran memang gak bisa terhindarkan dari suatu relasi. Akan tetapi, kalau frekuensinya sudah terlalu sering akibat ... Jan 17, 2017 — negatif yang ditimbulkan akibat Tuberkulosis. 3. Fasilitas Pelayanan Kesehatan ... 6) Bekerja sama dengan asuransi kesehatan dalam rangka.163 pages Sebab itu, menurut Putri Maharani, orang tua dan tenaga kesehatan perlu berupaya meminimalkan dampak negatif selama perawatan bayi dengan kelahiran prematur melalui metode Developmental Care. "Salah satu yang harus diperhatikan dalam developmental care adalah menjaga agar berat badan bayi dalam kondisi yang optimal untuk mendukung tumbuh ...
Prinsip sebab akibat dalam asuransi. Dec 31, 2014 — Apabila kepentingan yang diasuransikan mengalami musibah atau kecelakaan, maka pertama-tama kami akan mencari sebab-sebab yang aktif dan efisien ... Sekilas mengenai asuransi BNI Life . BNI Life telah memperoleh izin usaha dalam bidang asuransi jiwa berdasarkan surat dari Menteri Keuangan Nomor 305/KMK.017/1997 pada tanggal 7 Juli 1997. Sejalan dengan perusahaan induknya, yaitu PT Bank Negara Indonesia (BNI), BNI Life hadir untuk menyediakan layanan jasa keuangan terpadu bagi nasabahnya. Jakarta: Pusat Pelaporan dan Analisis Transaksi Keuangan (PPATK) sedang menyusun strategi untuk mencegah kerugian masyarakat akibat menjamurnya pinjaman online ilegal yang sudah sangat meresahkan. Untuk itu sebagai bahan masukan, Pusat Pelaporan dan Analisis Transaksi Keuangan (PPATK) menggelar Focus Group Discussion (FGD) Upaya Deteksi, Cegah, dan Berantas Pinjaman Online Ilegal yang ... Direktur Bisnis IFG, Pantro Pander Silitonga, menegaskan inisiatif ini merupakan salah satu dan langkah awal IFG bersama dengan BTN dan BNI dalam menghadirkan produk dan layanan asuransi kredit dengan membenahi business model, terms and conditions, dan premi asuransi yang disesuaikan dengan asas prinsip kehati-hatian dan disiplin pricing yang ...
Dec 28, 2016 — Dalam Peraturan Otoritas Jasa Keuangan ini yang dimaksud dengan: ... Prinsip Syariah, dan lini usaha asuransi kecelakaan.66 pagesMissing: sebab | Must include: sebab JAKARTA, KOMPAS.com - Memiliki status single atau lajang, pada umumnya memang hanya menanggung biaya hidup sendiri. Oleh sebab itu, sering kali merasa tak perlu memiliki asuransi jiwa.. Meski demikian, ternyata banyak pula yang berstatus lajang tetapi punya tanggungan untuk membiaya hidup keluarganya, seperti orang tua atau adik. • Akibat dari kecelakaan harus berupa luka fisik. • Hubungan sebab dan akibat tidak boleh putus. 2. Asuransi Kecelakaan Kerja. Asuransi kecelakaan lainnya yang diperlukan adalah asuransi kecelakaan kerja. Asuransi kecelakaan kerja ini sangat Anda perlukan jika pekerjaan Anda setiap harinya memiliki risiko yang tinggi dan bisa terjadi kapanpun. Nilai-nilai yang terkandung dalam gurindam ditujukan untuk memberi nasihat. Baca Juga: Sumpah Pemuda dan Posisi Bahasa Indonesia yang Jadi Dilema. Ciri-ciri gurindam: Tiap bait terdiri atas dua baris. Jumlah suku kata tiap baris tidak tetap. Bersajak sama atau a a. Baris ke-1 dan baris ke-2 mempunyai hubungan sebab akibat.
Sebab, mindfulness dapat membantu seseorang untuk menghadapi rasa stres dan meningkatkan kemampuan berkomunikasi dalam hubungan. Masih menurut APA, manfaat mindfulness juga dinilai ampuh dapat meredakan perasaan stres akibat konflik dalam hubungan. Mindfulness membutuhkan banyak latihan-latihan dan usaha. by HY Sabrie · 2015 · Cited by 6 — Pada asuransi dikenal prinsip-prinsip yang telah diatur dalam KUHD. ... 3 Hilda Yunita Sabrie, 'Pembayaran Klaim Asuransi Jiwa Akibat Tertanggung Bunuh Diri ... Baru Tahan Bupati HSU Sejak OTT, Ini Penjelasan KPK. Jakarta: Komisi Pemberantasan Korupsi ( KPK) menjelaskan keputusannya baru menahan Bupati Hulu Sungai Utara (HSU) Abdul Wahid. Lembaga Antikorupsi membutuhkan bukti yang cukup untuk menahan Abdul Wahid. "Kita menghormati prinsip-prinsip hukum acara pidana," kata Ketua KPK Firli Bahuri di ... Untuk menerangkan hubungan tersebut digunakan konsep yang berasal dari prinsip ekonomi. Pendekatan ekonomi menekankan bahwa kesehatan merupakan suatu modal ...18 pages
Investasi mudharabah adalah akad kerja sama antara penanaman modal dari investor (shahibul maal) kepada pengelola dana (mudharib) untuk melakukan kegiatan usaha tertentu. Sementara pembagian hasil keuntungan dan ruginya menggunakan metode bagi hasil sesuai nisbah yang telah disepakati sejak awal antara pemberi modal dan pengelola investasi.
The Global Federation of Insurance Associations (GFIA), which through its 38 ... diantisipasi terjadi hanya sekali dalam beberapa tahun, oleh sebab itu, ...11 pages
Diselenggarakan untuk pertama kalinya, Konferensi Regional tentang Bisnis dan HAM yang berlangsung secara hybriddari Jakarta pada 18-19 November 2021, merupakan inisiatif pemerintah Indonesia untuk memanfaatkanmomentum satu dekade UNGPsdan akan menjadi kontribusi regional dalam mendorong implementasi dan sosialisasi prinsip-prinsip UNGPs.
Pada laporan Belmont diutarakan 3 prinsip etik dasar (PED), yaitu (1) menghormati harkat martabat manusia (respect for persons), (2) berbuat baik (beneficence), ...134 pages
JAKARTA - Menteri Keuangan Sri Mulyani Indrawati mencatat insentif secara global yang telah dikeluarkan untuk mengatasi dampak pandemi Covid-19 mencapai USD19 triliun baik dari sisi fiskal maupun moneter. "Perekonomian dan keuangan dari sektor usaha serta perekonomian keseluruhan, begitu besar dampak Covid-19 sampai seluruh dunia melakukan countercyclical," katanya, dikutip dari Antara, dalam ...
Perbedaan Asuransi Syariah Dan asuransi Konvensional Berdasarkan Pengertiannya. Menurut pandangan Islam, di dalam asuransi konvensional terdapat beberapa hal yang tidak sesuai dengan syariat.Namun, tentu tidak dapat memungkiri bahwa manfaat asuransi sangat penting.
Dalam memahami sesuatu apabila seseorang betul-betul tidak menghendaki terjebak di lapisan dimensi ini, barulah ada kecerdasan dan pencerahan, barulah bisa mendeteksi bahwa perkataan ini bukan omong kosong yakni "siklus sebab akibat dan berimbalan adalah tidak keliru". Hukum sebab akibat bukan prinsip umat manusia, ia adalah hukum obyektif.
Namun, di atas kertas, Peru menjadi salah satu negara yang bagus dalam menangani Covid-19 dibandingkan banyak negara lain. Suara.com - Saat ini, Peru menjadi negara dengan kasus kematian akibat Covid-19 tertinggi di dunia. Jumlah populasi negara dengan ibukota Lima ini kurang dari 33 juta, tetapi kasus kematiannya mencapai 200.000.
Komposisi investasi ini terbagi ke dalam saham, deposito, dan obligasi. Untuk porsi pembagiannya berbeda-beda, tergantung manajer investasi. Untuk risiko dan keuntungannya, RDC Syariah ini berada di tengah-tengah Reksa Dana Saham dan Reksa Dana Pendapatan Tetap. Investor yang memiliki profil risiko moderat dan ingin berinvestasi di atas 5 ...
Hubungan sebab dan akibat tidak boleh putus. Berikutnya prosedur yang harus di lakukan untuk meng-klaim asuransi kecelakaan diri adalah: Mengisi formulir klaim yang telah disediakan.
Pada kesempatan kali ini pengajar.co.id akan membuat artikel yang berjudul Pencemaran Lingkungan : Macam, Penyebab, Contoh, Dampak, Solusi, yuk sama-sama kita bahas dibawah ini : Pengertian Pencemaran Lingkungan Pengertian pencemaran […]
Berikut ini adalah beberapa tips mengelola perusahaan yang mengalami kerugian, antara lain: 1. Melakukan Evaluasi. Jika dalam menjalankan bisnis Anda mengalami permasalahan khususnya kerugian, tentunya ada faktor-faktor yang menyebabkan hal tersebut terjadi. Maka dari itu, Anda perlu melakukan evaluasi pada semua hal yang berkaitan dengan ...
Materi 10 Prinsip Dasar Dalam Asuransi Dan Polis Asuransi Pptx Materi 10 Prinsip Dasar Dalam Asuransi Dan Polis Asuransi Asuransi U2022 Memurut Uu Ri Course Hero
Aspek Moral Hazard inilah yang dapat menimbulkan kerugian bagi perusahaan asuransi. Jika tidak teliti dalam menganalisa data-data dari tertanggung. Oleh sebab itu maka perusahaan asuransi (pihak underwriting) harus memberikan pengertian dan pengarahan kepada pemilik objek yang diasuransikan.
Karena manusia (idividual) merupakan bagian dari masyarakatnya, baik atau tidak baik tindakan-tindakannya dinilai berdasarkan hasil-hasilnya di dalam masyarakat. Jika akibat yang terjadi berguna bagi dirinya dan masyarakatnya, maka tindakan tersebut adalah baik . Nilai etika dan estetika tergantung pada keadaan relatif dari situasi yang terjadi.
Dec 24, 2013 — Sebab prinsip itikad baik sebagaimana ditegaskan dalam pasal 1338 ayat ... yang timbul akibat panjangnya waktu tunggu kapal dalam mengantri ...
by N Fathoni · 2013 · Cited by 32 — menggunakan prinsip-prinsip syari‟ah dalam kegiatannya. Ia didesain untuk ... boleh ada hubungan sebab akibat antara harga yang disepakati dengan diskon.
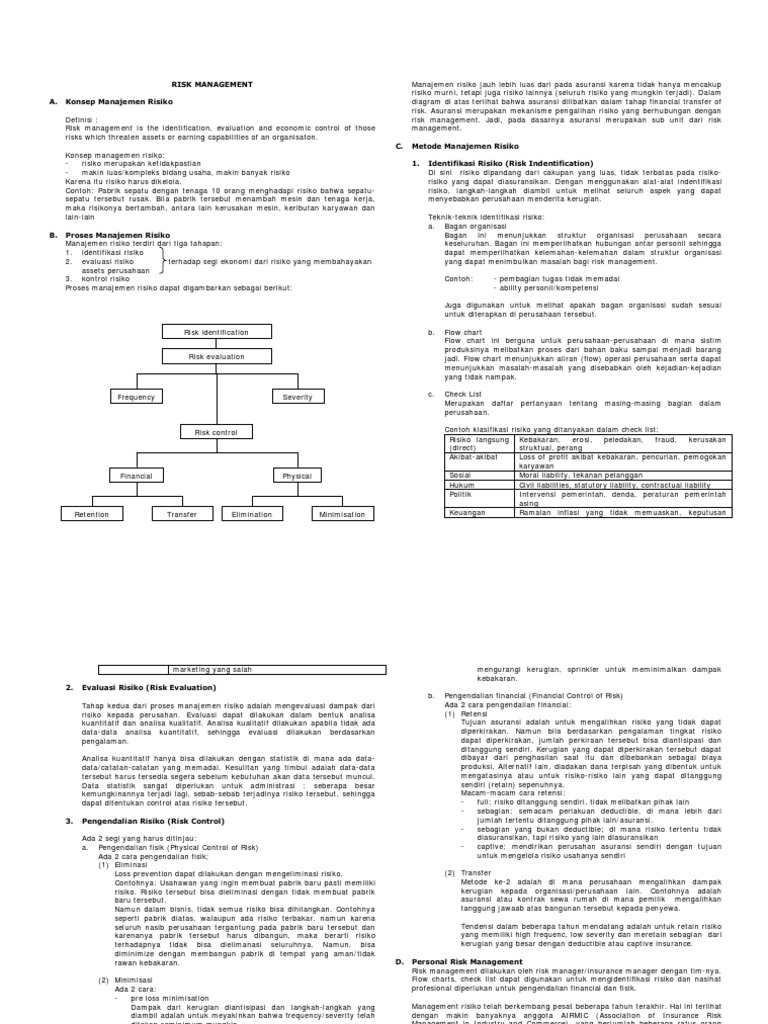
Analisa secara financial terhadap akibat yang ditimbulkan oleh kerugian yang terjadi. Evaluasi ini menggunakan data statistik jika data yang digunakan cukup. ... Dalam Asuransi; Pengertian dan Contoh dari Risk Identification (Identifikasi Resiko). Pengertian dan Contoh dari Risk Evaluation/Analysis ... Pengertian dan Klasifikasi Prinsip-Prinsip ...
Sebelumnya, 150 siswa MTS Harapan Baru Ciamis mengikuti kegiatan di luar lingkungan sekolah, salah satu kegiatannya menyusuri Sungai Cileueur. Dalam kegiatan itu, dilaporkan 21 siswa-siswi terbawa hanyut arus sungai, sebanyak 10 orang selamat, dan 11 orang meninggal dunia. Baca juga: Siswa MTs di Ciamis hanyut sudah ditemukan, sebelas tewas.
PERUSAHAAN farmasi asal Anglo-Swedia, AstraZeneca mengklaim bahwa obat antibodi Covid-19 buatannya 83 persen efektif dalam mengurangi resiko tertular Covid-19. Hal tersebut berdasarkan studi tindak lanjut yang dilakukan selama enam bulan. Seperti dilansir dari Channel News Asia (CNA), Kamis (18/11/2021) AstraZeneca mengatakan studi terpisah pada pasien dengan Covid-19 ringan hingga sedang ...
Sebab, meskipun ribuan koruptor dan perkara telah diputus, kualitas dan kerugian yang timbul akibat tindak pidana korupsi semakin meningkat. ... Heru dan Benny sebelumnya juga terseret dalam skandal korupsi PT Asuransi Jiwasraya yang mengakibatkan kerugian negara Rp16,807 triliun. Dalam kasus itu, keduanya telah dihukum pidana penjara seumur hidup.
RIAU - Hampir enam ratus anak pengungsi dan pencari suaka dari luar negeri sedang menempuh pendidikan formal di sekolah dasar dan sekolah menengah di berbagai wilayah Indonesia. Itu menjadi kebijakan yang ditunggu selama bertahun-tahun, karena selama ini mereka dilarang bekerja dan sekolah lantaran pemerintah Indonesia belum meratifikasi konvensi Perserikatan Bangsa-Bangsa (PBB) tentang pengungsi.
Sebab itu, menurut Putri Maharani, orang tua dan tenaga kesehatan perlu berupaya meminimalkan dampak negatif selama perawatan bayi dengan kelahiran prematur melalui metode Developmental Care. "Salah satu yang harus diperhatikan dalam developmental care adalah menjaga agar berat badan bayi dalam kondisi yang optimal untuk mendukung tumbuh ...
Jan 17, 2017 — negatif yang ditimbulkan akibat Tuberkulosis. 3. Fasilitas Pelayanan Kesehatan ... 6) Bekerja sama dengan asuransi kesehatan dalam rangka.163 pages
4. Miliki prinsip hidup yang sejalan. Akan sulit hubungan bisa berjalan dengan harmonis, apabila prinsip hidup kalian berseberangan. Sebab, jurang perbedaan yang terlampau besar, membuat kalian rentan terlibat pertengkaran. Pertengkaran memang gak bisa terhindarkan dari suatu relasi. Akan tetapi, kalau frekuensinya sudah terlalu sering akibat ...
0 Response to "40 prinsip sebab akibat dalam asuransi"
Post a Comment